Home

Cryptogamie, Algologie 25 (4)

Published on
26 November 2004




en On the occurrence of Laurencia pyramidalis Bory ex Kützing (Rhodophyta, Rhodomelaceae) in the Mediterranean Sea

Donatella SERIO et al.

329-336, Published on 26 November 2004, art. 25 (19)

en Studies of Hawaiian Galaxauraceae (Nemaliales, Rhodophyta): Large subunit rDNA gene sequences support conspecificity of Galaxaura rugosa and G. subverticillata1

John M. HUISMAN et al.

337-352, Published on 26 November 2004, art. 25 (20)

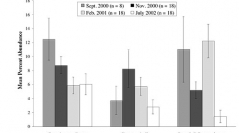
Variation in algal turf species composition and abundance on two Hawaiian shallow subtidal reefs1

Brooke STUERCKE & Karla J. MCDERMID

353-365, Published on 26 November 2004, art. 25 (21)

en Gracilaria apiculata and G. flabelliformis (Gracilariaceae, Rhodophyta): restoring old names for common tropical western Atlantic species, including the recognition of three new subspecies, and a replacement name for “G. lacinulata”1

Carlos Frederico D. GURGEL et al.

367-396, Published on 26 November 2004, art. 25 (22)

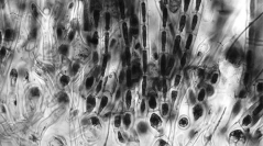
en Rhizoidal Cortication in the Red Algal Genus Ceramium (Ceramiaceae, Ceramiales): Two Developmental Patterns

Tae Oh CHO et al.

397-407, Published on 26 November 2004, art. 25 (23)

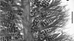
en Dasya abbottiana sp. nov. (Dasyaceae, Rhodophyta) from Puerto Rico, Caribbean Sea

David L. BALLANTINE & Nilda E. APONTE

409-417, Published on 26 November 2004, art. 25 (24)

en Taonia abbottiana sp. nov. (Dictyotales, Phaeophyceae) from the Tropical Western Atlantic1

Diane S. LITTLER & Mark M. LITTLER

419-427, Published on 26 November 2004, art. 25 (25)