Home

Geodiversitas

This page lists the articles of the journal Geodiversitas ; you can filter the content (multiple choices) using the form below.



2007

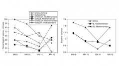
en Pliocene to Pleistocene large mammal diversity and turnover in North Mediterranean region: the Greek Peninsula with respect to the Iberian and Italian ones

Dimitris S. KOSTOPOULOS et al.

401-419, Published on 28 September 2007, art. 29 (14)

en Micropaleontological parameters as proxies of late Miocene surface water properties and paleoclimate in Gavdos Island, eastern Mediterranean

Assimina ANTONARAKOU et al.

379-399, Published on 28 September 2007, art. 29 (13)

en A late Miocene leaf assemblage from Vrysses, western Crete, Greece, and its paleoenvironmental and paleoclimatic interpretation

Giannis ZIDIANAKIS et al.

351-377, Published on 28 September 2007, art. 29 (12)

en Introductory note to Neogene paleoenvironments in the Mediterranean realm

Sevket SEN

349-350, Published on 28 September 2007, art. 29 (11)

en Fossil sea turtles (Chelonii, Dermochelyidae and Cheloniidae) from the Miocene of Pietra Leccese (late Burdigalian-early Messinian), Southern Italy

Francesco CHESI et al.

321-333, Published on 29 June 2007, art. 29 (10)

en Herpetological assemblages from the Pliocene to middle Pleistocene in Central Europe: palaeoecological significance

Martin IVANOV

297-320, Published on 29 June 2007, art. 29 (9)

en Anurans and squamate reptiles from the latest early Pleistocene of Almenara-Casablanca-3 (Castellón, East of Spain). Systematic, climatic and environmental considerations

Hugues-Alexandre BLAIN et al.

269-295, Published on 29 June 2007, art. 29 (8)

en A primitive megalichthyid fish (Sarcopterygii, Tetrapodomorpha) from the Upper Devonian of Turkey and its biogeographical implications

Philippe JANVIER et al.

249-268, Published on 29 June 2007, art. 29 (7)

en A new bathyal shark fauna from the Pleistocene sediments of Fiumefreddo (Sicily, Italy)

Stefano MARSILI

229-247, Published on 29 June 2007, art. 29 (6)

en The anatomy of Euphanerops longaevus Woodward, 1900, an anaspid-like jawless vertebrate from the Upper Devonian of Miguasha, Quebec, Canada

Philippe JANVIER & Marius ARSENAULT

143-216, Published on 30 March 2007, art. 29 (5)


Pages